精确控制浮法玻璃原料及混合料质量
陈兰武
山东德州晶华集团振华有限公司 山东德州 253007
摘要:本文分析了原料及混合料质量控制中存在的问题,并介绍了一些质量指标的控制与检测方法以及需要采取的工艺措施,强调了原料及混合料质量指标考核的作用,简要介绍了原料及混合料质量指标的统计和考核方法。
关键词:原料,混合料,质量指标,精确控制
1引言
在浮法玻璃生产过程中,各工序之间连续性很强,环环相扣,互相制约,彼此影响很大。在原料的管理,原料加工和配合料制备过程中的细小错误都可能造成生产的不稳定,甚至酿成大的生产事故。多年来根据生产实践总结出的玻璃生产的“大四稳”——原料稳、燃料稳、熔化稳、成型稳,其中原料稳列为前提,做为玻璃生产的基础稳。
在近几年新上浮法生产线中,由于科学技术的发展,自动化程序和设备性能的进步,使混合料的控制水平已有了大幅度的提高。在配合料制备过程中其称量系统和调合系统的关键部位多数引进了进口设备,装备水平有了大幅度的提高,对于减少成分波动提高混合料质量方面已有了相当大的改观。但目前在原料生产工艺中,其质量控制和检测手段仍有不少的问题,离优质浮法玻璃的生产要求有一定的差距,常常造成玻璃生产的不稳定,导致出现气泡、夹杂物等玻璃的质量缺陷,同时也对熔化率和窑龄产生直接影响。有些先进企业在制定原料标准方面,内容与国家标准相当,但指标略高于国家标准,有的还增加了国家标准没有的要求。通过精确控制浮法玻璃原料及混合料的质量,努力创建自己的品牌产品,提高市场竞争力,最大限度的提高企业的经济效益。
2做好原料进厂的质量控制
工艺部门加强对矿点的加工工艺指导和质量检查。定期到矿点了解矿山变化情况,从源头上控制进厂原料质量。
认真对原料的成分、水分、粒度、成分均匀性、难熔重矿物的检验,严格按质量标准进行控制。
为了把好合格原料进厂关,浮法玻璃企业有的派人常驻矿山进行质量管理及把关。多数只在厂内对进厂原料通过外观检查、化验分析进行质最把关。但在检查把关时只对原料的成分、水分、粒度进行检验和对外观有无明显污染进行检查,各工厂对以上检验方法都比较熟悉和重视。但一般对原料的成分均匀性、难熔重矿物的含量不进行检查与检验。如果一批料出现成分不均匀,波动大,容易造成玻璃生产的不稳定。如果难熔重矿物含量、粒度超过标准要求时,玻璃板面会出现严重夹杂物,且原因不易查找。所以对于原料均匀性指标和难熔重矿物含量指标也应制定一个质量标准并进行检查与控制,以下对原料均匀性指标和难熔重矿物含量指标检测与控制方法作分别介绍。
(1)通过原料均匀性的测定发现某一批料出现成分不均匀,可以采取一定的工艺措施进行使用。如加强对进厂后各种原料的分堆码垛的管理,及横码竖切的使用原则,对硅质原料采用预均化措施。
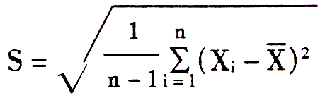
原料均匀性的测定和统计方法如下:
对进厂的某一批原料,按标准在不同部位分取样品30个,并进行编号,分别化验出各样品的成分,然后通过列表计算得出某成分均匀度。均匀度计算要遵循概率论的数量统计方法。
通常采用有限测定试样的标准离差计算式:

式中:
S——标准离差测定值;
n——试样只数;
Xi——任一试样的测定值;
X——这些试样测定值的平均值。
应进一步算出相对离差,即:

于是均匀性为:H=100%-Cv
(2)对难熔重矿物及杂质含量进行检查、测定,在提高浮法玻璃质量、稳定玻璃生产中非常重要。砂岩、白云石、石灰石、长石等属于天然矿物,这些天然矿物中含有危害玻璃质量的杂质,有些属于难熔矿物,许多矿物原料含有硅线石、锆英石、和铝镁尖晶石等。由于重矿物在玻璃熔化过程中,难以完全熔化而被残留在玻璃原板上,形成固体夹杂物。重矿物的检查在国内浮法还没有引起足够重视,事实上其危害很大。河北某集团因白云石中含有镁尖晶石及镁橄榄石等重矿物,连续三个月废品率达40%,最后经过分析找出原因。上海皮尔金顿在重矿物要求方面有严格的标准规定(如表1),法国一公司要求硅质原料中,相对密度大于2.9的矿物杂质含量<0.0l%,其颗粒要求<0.2mm,这主要是指铬铁矿、红柱石、蓝晶石、硅线石、十字石、白钛石等,其他矿物杂质的粒度应小于0.3mm。长石中难熔矿物含量要求与硅质原料中含量要求相同。白云石、石灰石中不溶于盐酸的矿物颗粒,若是SiO2,颗粒应小于0.5mm,其他矿物颗粒则应小于0.2mm。一般要在矿山原料加工前对难熔重矿物进行检查把关,达到减少难熔重矿物的含量。对加工好的粉料在装卸和运输中防止杂质污染,其重矿物含量可以用x射线荧光光谱仪进行检测。
表1 上海皮尔金顿关于原料中的重矿物含量标准规定

为了全面 |